
高中物理篇204:高中物理求解变压器问题方法
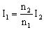
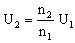
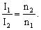
一、理想变压器的基本规律
电压关系
原、副线圈的电压比等于原、副线圈的匝数之比,即
电流关系
1. 只有一个副线圈时,即“一一对应”时,有;2. 有多个副线圈时:由P入=P出,得
或
功率关系
原线圈的输入功率等于副线圈的输出功率,即
频率关系
f1=f2(变压器不改变交变电流的频率)
二、各个物理量的决定关系
1. 由,可知U1决定U2,即原线圈两端的电压决定副线圈两端的电压;2. 由
,可知I2决定I1,即副线圈中的电流决定原线圈中的电流;3. 由P入=P出可知,P出决定P入,即副线圈中的功率决定原线圈中的功率,且功率按需分配.
三、典型问题和方法
1. 理想变压器基本公式的应用
例1、如图1所示,L1和L2是输电线,甲是电压互感器,乙是电流互感器. 若已知甲的变压比为500:1,乙的变流比为200:1,并且已知加在电压表两端的电压为220V,通过电流表的电流为5A,则输电线的输送功率为 ( )
A. B.
C.
D.
解析:根据理想变压器的原、副线圈电压比可知,输电线上的电压
. 再根据理想变压器的原、副线圈电流比
可知,输电线上的电流
. 由功率公式得
. 故选项D正确.
理想变压器是利用互感的原理工作的,只能改变交变电流的电压和电流。且遵循如下规律:电压与匝数成正比,即;当原、副线圈“一一对应”时,有
2. 多个副线圈的变压器问题
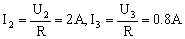
例2、如图2所示,理想变压器的原线圈匝数n1=1000匝,副线圈有两个线圈,匝数分别为n2=500匝,n3=200匝,并分别接一个阻值为R=55Ω的电阻,在原线圈1两端接U1=220V的交流电压时,求:
(1)两副线圈输出的电功率之比= ;(2)原线圈中的电流I1= A.
分析:对于理想变压器,已知n1、n2、n3以及U1可由,分别求出U2和U3. 再根据
,求出
. 又依据欧姆定律可求出I2和I3,最后由
,可求得I1。
解析:(1)对两个副线圈有所以,
又
,所以
.(2)根据欧姆定律得
对于有多个副线圈的理想变压器有
解得
对于两个以上的副线圈的理想变压器,电压与匝数成正比是成立的,而电流与匝数成反比的规律不成立. 但在任何情况下电流关系都可以根据原线圈的输入功率等于副线圈的输出功率,即P入=P出求解.
3. 理想变压器的动态分析例3、四川汶川特大地震致使供电系统严重破坏. 为了确保灾后人民的生活得到及时救助,电力部门启动了临时供电系统,它由备用发电机和副线圈匝数可调的变压器组成,如图3所示,图中R0表示输电线的电阻. 滑动触头P置于a处时,用电器恰好正常工作. 在下列情况下,要保证用电器仍能正常工作,则 ( )
A. 当发电机输出的电压发生波动使电压表V1示数小于正常值,用电器不变时,应使滑动触头P向上滑动
B. 当发电机输出的电压发生波动使电压表V1示数小于正常值,用电器不变时,应使滑动触头P向下滑动
C. 如果电压表V1示数保持正常值不变,那么当用电器增加时,滑动触头P应向上滑
D. 如果电压表V1示数保持正常值不变,那么当用电器增加时,滑动触头P应向下滑
分析:分析时,关键是看到理想变压器变化的本质:
(1)当发电机输出的电压发生波动使电压表V1示数小于正常值时,意味着U1变小;
(2)如果U1不变,当用电器增加时,实质就是负载电阻减小.解析:当发电机输出的电压发生波动使电压表V1示数小于正常值,用电器不变时,由可知,当U1变小,n2应变大,则选项A正确;如果电压表V1示数保持正常值不变,由
可知,当U1不变,假设n2保持不变,那么当用电器增加时,副线圈中的总电阻将减小,则副线圈中的电流增大,而R0分担的电压将增大,用电器上分得的电压必然减小. 所以,为了确保用电器正常工作,滑动触头P应向上滑,则选项C正确. 本题正确选项为AC.
理想变压器动态分析大致有两类情形:
(1)负载不变,原、副线圈的电压U1、U2,电流I1、I2,功率P入、P出随匝数比变化而变化;
(2)匝数比不变,上述各物理量随负载电阻的变化而变化.共同策略:①根据题意弄清变量和不变量;②弄清变压器动态变化的决定关系.
复习回顾:
203:高中物理绳件、弹簧、杆件模型例题解析
202:高考物理闭合电路的动态分析方法
201:高考物理考试高分潜规则,看了都考高分!
200:高中物理弹簧模型例题解析
199:高中物理斜抛运动知识点汇总
更多物理往期内容可在对话框回复“物理”查看
年轻的我们
唯一要做的
就是向上生长